پاسخنامه ریاضی کار جویا مجد هفتم فصل دوم (عددهای صحیح)، فوق جامع + رفع اشکال با معلم
جوابهای تشریحی و جامع به تمام سوالات فصل دو
این پاسخنامه در یک نگاه
دانلود جواب ریاضی کار جویا مجد هفتم فصل دوم
(عددهای صحیح)
جواب تمام سوالات به زبان ساده و جامع
دانلود فایل PDF
در صفحه پس از خرید
امکان رفع اشکال با پشتیبان
(با ارسال تیکت در پنل کاربری سایت)
خرید این پاسخنامه + فرصت رفع اشکال با معلم
۱۲۷,۰۰۰ تومان
لطفا حتما جلد کتاب خود را بررسی کنید که ریاضی کار جویا مجد باشد (نه ریاضی امتحانی).
در این بخش از وبسایت رسمی گروه آموزشی درس من میتوانید جواب ریاضی کار جویا مجد هفتم فصل دوم (عددهای صحیح) را با کیفیت بالا در قالب فایل PDF دریافت کنید. اگر در پرسشهای این فصل به موردی برخوردید، کافیست از طریق پنل کاربری همین سایت یک تیکت ارسال کنید تا پشتیبان، شما راهنمایی کنند.
عنوان محصول: جواب سوالات کتاب کار ریاضی جویا مجد هفتم فصل دوم
نویسنده کتاب: کریم کرمی
پاسخدهنده به سوالات کتاب: گروه آموزشی درس من
فصل / درس: فصل 2: عددهای صحیح
تعداد صفحات پاسخنامه: 70
رفع اشکال با پشتیبان: دارد (ارسال تیکت در پنل کاربری سایت)
روش پاسخگویی به سوالات: دست نوشته خوش خط
نوع فایل: پیدیاف (PDF)
روش دریافت پاسخنامه: دانلود فوری پس از خرید
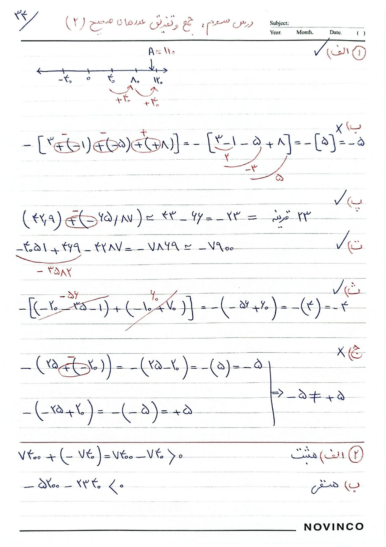
نگاهی به چند صفحه از پاسخنامه ریاضی کار جویا مجد هفتم فصل 2
برای اطمینان از جامعیت و کامل بودن پاسخهای فصل دوم از این کتابِ کار، میتوانید تصاویر زیر را بررسی کنید. در صورت تمایل، نسخه کاملِ PDF پاسخنامه همین فصل را نیز از همین صفحه در وبسایت درس من تهیه فرمایید.
پاسخنامه ریاضی کار جویا مجد هفتم – فصل 2_48
پاسخنامه ریاضی کار جویا مجد هفتم – فصل 2_3
پاسخنامه ریاضی کار جویا مجد هفتم – فصل 2_34
میخواهم با خرید این پاسخنامه، مطالب درسی را بهتر و با کیفیتتر یاد بگیرم
به لطف خدا پاسخنامه فصل دوم از این کتاب کار هم آماده شد. امیدواریم مورد استفاده شما دانشآموزان پایه هفتم و والدین گرامی قرار بگیره. فرصت رفع اشکال برای این پاسخنامه نیز فعال هست (ارسال تیکت در پنل کاربری سایت)
مهتا –
سلام خواهشمندم پاسخنامه فصل ۲ریاضی امتحانی رو هم بگذارید این هفته فصل ۲تمام شده وامتحان دارند
اتنا بارگاهی –
صفحه 40
سوال25
حامد –
لطفا در صورت تمایل، پاسخنامه رو خریداری کنید
مهدی باقری –
سلام
پاسخنامه امتحانی ریاضی هفتم را هم در صفحه تان خواهید گذاشت یا نه .
دیدگاهها
حامد –
به لطف خدا پاسخنامه فصل دوم از این کتاب کار هم آماده شد. امیدواریم مورد استفاده شما دانشآموزان پایه هفتم و والدین گرامی قرار بگیره. فرصت رفع اشکال برای این پاسخنامه نیز فعال هست (ارسال تیکت در پنل کاربری سایت)
مهتا –
سلام خواهشمندم پاسخنامه فصل ۲ریاضی امتحانی رو هم بگذارید این هفته فصل ۲تمام شده وامتحان دارند
اتنا بارگاهی –
صفحه 40
سوال25
حامد –
لطفا در صورت تمایل، پاسخنامه رو خریداری کنید
مهدی باقری –
سلام
پاسخنامه امتحانی ریاضی هفتم را هم در صفحه تان خواهید گذاشت یا نه .
حامد –
سلام. بله هست. به لینک زیر مراجعه کنید:
پاسخنامه ریاضی امتحانی جویا مجد هفتم
محمد امین –
خیلی خوب
محمد امین –
خیلی خوب وعالیه برای یادگیری
محمد صالح –
خوبه